Document Type : Original Articles

Authors

1 Department of Physical Therapy, School of Rehabilitation Sciences, Shiraz University of Medical Sciences, Shiraz, Iran

2 Rehabilitation Sciences Research Center, Shiraz University of Medical Sciences, Shiraz, Iran,

3 Rehabilitation Sciences Research Center, Shiraz University of Medical Sciences, Shiraz, Iran

Abstract

Background: Ankle sprains are common musculoskeletal injuries in sports and physical activities, often leading to balance impairments. The research investigated the impact of combined fibular repositioning taping (FRT) and facilitatory fibularis longus taping on postural balance and proprioception of the ankle joint in individuals with Chronic Ankle Instability (CAI).
Methods:The double-blind randomized controlled trial was conducted at the Rehabilitation Sciences Research Center, Shiraz University of Medical Sciences (SUMS). A total of 40 patients aged between 18 and 50 were randomly allocated to either the intervention or placebo group. In the intervention group, participants received a combined FRT and facilitatory fibularis longus taping. In contrast, participants in the placebo group received an adhesive gauze from the medial malleolus to the midpoint of the tibia. Static and dynamic postural stability and stability limits were evaluated using the Biodex Balance SD system. Proprioception of the ankle joint was assessed using the active ankle joint repositioning test with a Biodex isokinetic dynamometer. Data within each group were compared before and immediately after taping and 48 hours after taping.
Results: The comparison of static postural stability before and immediately after the taping application revealed a significant decrease within groups (P = 0.01). Additionally, there was a statistically significant difference between groups before and 48 hours after taping (P = 0.002). A significant difference was observed between groups immediately after taping (P = 0.03) for dynamic postural stability at the double leg stance position. In contrast, no significant difference was found between groups 48 hours after taping (P = 0.05).
Conclusion:The results suggest that combined FRT and facilitatory fibularis longus taping could enhance static and dynamic postural stability in individuals with CAI.
 

Highlights

Katayoon Rezaei :google scholar 

 

Keywords

Introduction

Ankle sprains are among the most common injuries in physical activities and sports [ 1 ], with lateral ligament involvement being predominant. About 30% of ankle sprains progress to Chronic Ankle Instability (CAI) [ 2 , 3 ]. CAI symptoms include pain, episodes of instability, muscle weakness and fatigue, recurrent sprains, reduced function, impaired postural stability, and limited ankle range of motion [ 1 , 4 ]. CAI is categorized into Mechanical Ankle Instability (MAI), characterized by structural changes and laxity, and Functional Ankle Instability (FAI), associated with proprioception and neuromuscular control deficits [ 5 ]. In inversion ankle sprains, arthrokinematics restrictions are observed, potentially leading to anterior and inferior fibular shifting relative to the tibia. This fibular positional anomaly may contribute to pain, reduced mobility, and sensorimotor deficits [ 6 ]. Additionally, arthrogenic muscle inhibition in muscles like the soleus and peroneal group has been implicated in CAI [ 7 ].

CAI often leads to deficits in postural control. Damage to the lateral ankle ligaments can impede proprioceptive nerve fibers, impairing postural balance. Studies have consistently found that individuals with CAI exhibit greater mediolateral and anteroposterior center of pressure velocity compared to healthy individuals [ 8 ].

Various treatment modalities can enhance postural balance in individuals with CAI, including whole-body vibration (WBV), balance training, joint mobilization techniques, and peroneal functional electrical stimulation . Kinesio tape (KT) has emerged as a popular intervention for preventing musculoskeletal conditions and enhancing athletic performance [ 11 ]. Numerous studies have demonstrated its effectiveness in reducing pain, improving proprioception, repositioning subluxated joints, and optimizing ankle proprioceptive function [ 12 ]. KT possesses elastic properties similar to skin and is designed to support and stabilize muscles and joints without limiting the range of motion. KT is also air- permeable and water-resistant, allowing it to be worn for extended periods without frequent removal [ 13 ].

FRT is used clinically as an intervention following ankle sprain [ 14 ]. A previous study showed that FRT may improve postural control performance in athletes with and without CAI immediately after taping [ 15 ]. Also, Takahashi et al. found that FRT caused significant improvement in modified-Y-balance composite scores compared with traditional taping in participants with and without CAI [ 16 ]. Another study showed that adding KT positively affects muscle strength, increasing the peak torque of the evertors, compared to the strengthening program alone [ 17 ]. However, other studies suggested that FRT does not improve postural balance in these patients [ 18 - 21 ].

To the best of the author’s knowledge, while the immediate effects of FRT on postural balance have been tested [ 15 ], there is currently no study investigating the prolonged effect of combined FRT and facilitatory fibularis longus taping on postural balance in individuals with CAI.

Materials and methods

Study Design

The double-blind randomized controlled trial was conducted between December 2018 and June 2019 at the Rehabilitation Sciences Research Center, Shiraz University of Medical Sciences (SUMS), Shiraz, Iran. The Ethics Committee of the Vice Chancellor for Research at Shiraz University of Medical Sciences approved the study protocol in accordance with the principles of the Declaration of Helsinki (IR.SUMS.REHAB.REC.1397- 011). Additionally, this manuscript is registered on the IRAN randomized trial site (IRCT20180820040841N1)

>Participants

With a significance level set at 0.05 and power at 80%, 40 patients aged between 18 and 50 years old, based on the findings of a previous pilot study related to balance variables, were enrolled in this study. Before participation, all eligible subjects signed an informed consent form approved by the Ethics Committee of SUMS. The inclusion criteria were based on the guidelines of the International Ankle Consortium [ 22 ]. The participants were randomly assigned to either the intervention group (n=20) or the placebo group (n=20) using block randomization (block size=4). The participants’ assignments to these groups are outlined in the flow diagram (Table 1).

Groups Intervention group (n=20) Placebo group (n=20) P-value
Variables Mean ± SD Mean ± SD
Age (y) 30.05 ± 7.35 29.45 ± 7.82 0.8
Weight (k) 73.88 ± 7.67 68.98±12.39 0.14
Height(cm) 173.55 ± 5.21 169.95 ± 8.46 0.11
CAIT (0-30) 19.85 ± 2.13 19.95 ± 1.88 0.43
FAAM ADL (%) 82.32 ± 4.44 84.04 ± 4.36 0.18
FAAM Sport (%) 68.59 ± 5.60 70.16 ± 6.91 0.87
CAIT: Cumberland Ankle Instability Tool; FAAM: Foot and Ankle Ability Measure; ADL: Activities of Daily Living; *The significance level was considered P<0.05
Table 1. Demographic and clinical characteristics of participant

Subjects meeting the following criteria were included in the study: Unilateral CAI diagnosis; History of at least one ankle sprain episode within a year before the study, associated with pain, swelling, and impairment in at least one day of Activity of Daily Living (ADL); Self-report of ankle joint giving way, recurrent ankle sprain, or instability (at least two episodes in the last six months before the study); Cumberland Ankle Instability Tool (CAIT) score <24; Foot and Ankle Ability Measure (FAAM) ADL score <90%; and FAAM Sport score less than 80%.

Subjects were excluded if they reported a previous history of surgery on musculoskeletal structures in the lower extremities, Positive history of fractures in each of the lower limbs, Acute injury to non-involved lower extremity structures within the past three months leading to at least one day of interrupted ADL; Any neurological and myopathic disorders; Positive history of lumbar radiculopathy; Untreated severe ankle sprain; Severe skin irritation to tape application; Knee malalignment deformity; and Pregnancy. Table 1 presents demographic and clinical characteristics of participants.

Taping Protocols

Before applying the tape, the skin was shaved and cleaned with alcohol. The participants were positioned supine with their ankles kept in a neutral position.

The intervention group received a combination FRT and facilitatory fibularis longus taping. Two strips (20×2.5 cm) of Athletic Tape (Euro Tape, Mueller, USA) were used for FRT. One strip was applied from the distal end of the lateral malleolus around the posterior lower leg (Figure 1a). A manual pain-free posterolateral superior glide was applied to the distal fibula and maintained. In contrast, the strip was applied to maintain a posteriorly directed position of the fibula. A second strip was applied similarly to reinforce the taping [ 14 , 23 ].

Figure 1. a. Combined fibular repositioning taping (FRT) and facilitatory fibularis longus taping, b. Facilitatory fibularis longus taping

For facilitatory fibularis longus taping, one strip of KT (KT Tape Pro Extreme) was applied to the fibularis longus muscle from origin to insertion with 15%-35% elasticity (Figure 1b) [ 14 , 24 ].

Patients in the placebo group received one adhesive gauze from the medial malleolus to the midpoint of the tibia without any tension or manual mobilization of the fibula [ 24 ].

Assessments

>Measurement of Static and Dynamic Stability

The Biodex Balance System (SD, Inc., New York, USA) assessed static and dynamic postural stability. The BBS is a reliable device for evaluating stability indices in both static and dynamic postural alignments [ 25 ]. It features a circular platform moving freely in the anterior- posterior and mediolateral axes. This tool allows for up to 20° of foot platform tilt and calculates the Medio Lateral Stability Index (MLSI), Anterior-Posterior Stability Index (APSI), and Overall Stability Index (OSI) [ 26 ]. The device offers 12 levels of dynamic stability, ranging from the most stable (level 12) to the most unstable (level 1) [ 27 ]. In line with a previous study [ 28 ], the dynamic postural test on the BBS at level 8 represented a low instability condition.

During the single-leg stance test, participants were instructed to stand barefoot on the BBS-locked platform in static and dynamic (level 8) situations. They were asked to place both hands on their iliac crest. The heel was positioned on the D12 surface grid system for the single- leg stance on the left foot while the foot was angled at 10°. Similarly, for the single-leg stance on the right foot, the heel was adjusted on D10 with the foot angled at 10°. Each participant performed three 20-second trials with a 10-second interval between trials, and the average of the three trials was used for data analysis.

Furthermore, we assessed static and dynamic postural stability in a bilateral leg stance. Per the BBS user’s operation manual, participants were instructed to place their left heel on the D6 surface grid system and their right heel on the D16 surface grid system. The participants’ feet were angled at 10°. The test was conducted with the affected leg. Three trials were conducted with eyes open, and the mean score was calculated. Before the evaluation, all participants underwent a five-minute training session to adapt to the device.

Measurement of the Stability Limits

To measure the limit of stability (LOS), participants stood barefoot on the BBS sheet with both upper extremities comfortably at their sides. The LOS test default setting was considered to be 75% LOS. This test serves as a good indicator of dynamic postural control. Eight flashing circles appeared successively in random order on the screen. Participants were instructed to shift and control their center of gravity within their base of support (BOS). During each trial, participants shifted their weight and moved the cursor on the screen from the central circle to one peripheral flashing circle and back as quickly as possible. This process was repeated for each of the eight circles. Each trial ended when all eight blinking points had been reached. The test was repeated three times, with a 10-second interval between each repetition. All tests were performed with eyes open.

>Ankle Joint Repositioning Assessment

The proprioception of the ankle joint was assessed using the active ankle joint repositioning test, conducted with the Biodex isokinetic dynamometer 4 pro. Each subject sits upright on the associated chair with the knee flexed to 75 degrees. This setup ensured proper placement of the patient’s barefoot into the Biodex ankle inversion/eversion device, with the talocrural joint positioned in 15 degrees of plantar flexion. According to the manufacturer’s instrumentation, the patient’s foot was properly aligned with the axis of the isokinetic dynamometer. A small strap was placed around the proximal tibiofibular joint and the barefoot to provide stabilization. Subjects were blindfolded during the examination to eliminate visual feedback. Before the test, each subject underwent a practice session followed by a 30-second rest period. During the test, the foot was passively moved from the end range of maximal eversion to maximal inversion minus 5 degrees, where it was held for 10 seconds. Once in the test position, patients were instructed to concentrate on the test angle. Subsequently, the foot was passively returned to the starting position, and the subjects were asked to reproduce the angle three times actively. The mean of three consecutive trials was recorded for analysis. Assessments of ankle joint repositioning were conducted before, immediately after, and 48 hours after taping. The assessor collected data, and the participants were blinded to group assignments throughout the evaluation process.

Statistical Analysis

Statistical analysis was conducted using SPSS software version 19 (IBM Statistics, New York, NY, USA). The normal distribution of the data was assessed using the Kolmogorov-Smirnov test. Nonparametric tests were employed since the data did not follow a normal distribution. Mann-Whitney U-tests were used to compare individual variables between groups. Additionally, an analysis of variance for repeated measures (ANOVA) was performed to assess the main effect of the tape intervention on postural balance. Post-hoc analyses were conducted as needed. Effect sizes were calculated using the eta-partial squared value. The significance level was set at P<0.05.

Results

The study included forty patients with CAI who met the inclusion criteria and were randomly assigned to either the intervention or placebo group, with twenty patients in each group. All participants completed the study as per protocol. No statistically significant differences were found between the groups in terms of age, weight, height, CAIT, FAAM ADL, and FAAM Sports scores (P>0.05) (Table 1).

Static Postural Stability (Bilateral Leg Stance)

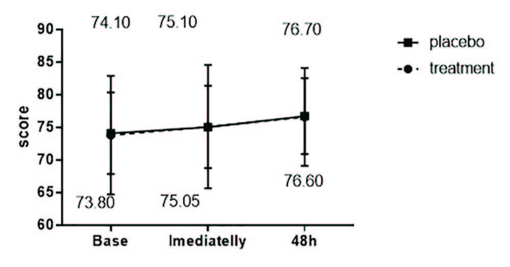
In each group, static postural stability was assessed before, immediately after, and 48 hours after taping. The repeated measures ANOVA revealed a significant main effect of group (F1,38=5.92, P<0.001), a main effect of time (F2,76=3.29, P=0.04), and a significant interaction effect between time and group (F2,76=3.87, P=0.02) (Figure 2). Further analysis using the Mann-Whitney U test indicated a significant decrease in static postural stability between the groups before and immediately after taping application (P=0.01). Additionally, statistically significant differences were observed between the groups before and 48 hours after tapping (P=0.002).

Figure 2. Changes in the mean score of double static postural stability

Dynamic Postural Stability (Bilateral Leg Stance)

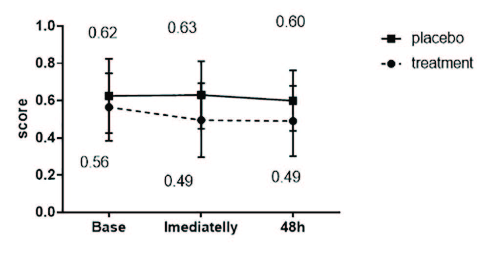
For dynamic postural stability, the analysis revealed significant main effects of group (F1,38=3.53, P<0.001) and time (F2,76=3.26, P=0.04), as well as a non- significant interaction effect between time and group (F2,76=1.84, P=0.16) (Figure 3). Further examination using the Mann-Whitney U test showed a significant difference between the groups for dynamic postural stability immediately after tapping (P=0.03). However, no significant difference was observed between the groups 48 hours after tapping (P=0.05).

Figure 3. Changes in the mean score of double dynamic postural stability

Static Postural Stability (Single Leg)

For static postural stability, the analysis showed no statistically significant differences in the main effects of time (F2,76=0.84, P=0.43), group (F1,38=0.51, P=0.47), or the interaction effect between time and group (F2,76=0.36, P=0.69) (Figure 4).

Figure 4. Changes in the mean score of single-leg static postural stability

Stability Limits

The results revealed a significant main effect of time (F2,76=7.1, P=0.001), indicating improvements in stability limits in the intervention group over time. However, no significant main effects were observed for the group (F1,38=0.003, P=0.95) or the interaction effect between time and group (F2,76=0.03, P=0.97) (Figure 5).

Figure 5. Changes in the mean score of stability limits

Ankle Joint Repositioning

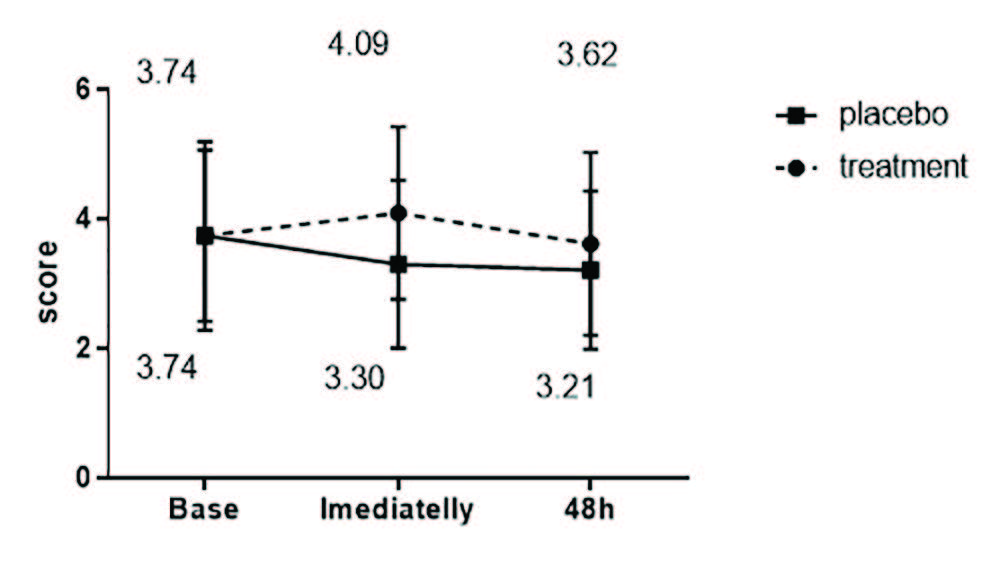
According to the study results, there were no significant main effects for the group (F1,38=1.44, P=0.23), time (F2,76=1.24, P=0.29), or the interaction effect between time and group (F2,76=1.52, P=0.22) (Figure 6).

Figure 6. Changes in mean difference of ankle joint repositioning error

Discussion

The current study aimed to assess the impact of combined FRT and facilitatory fibularis longus taping on postural performance immediately and 48 hours post-application in individuals with CAI. The findings revealed a significant effect over time, indicating an improvement in static postural stability during bilateral leg stance immediately and 48 hours after taping. The effect size for this improvement was large, with a value of 0.13. Additionally, the combined intervention enhanced dynamic postural stability during double stance immediately after application, albeit with a small effect size of 0.08, suggesting a relatively modest treatment effect.

The study findings indicate that the experimental group improved stability limits following the intervention. However, no significant differences were observed between groups immediately after and 48 hours post- application in stability limits values. To our knowledge, this study is the first to investigate the effects of the combined application of FRT and facilitatory fibularis longus taping. After an ankle sprain, mechanical stress is transmitted to the anterior tibiofibular ligament, resulting in the distal fibular bone being pulled anteriorly relative to the tibia, leading to a forward positional fault. This fibular positional abnormality can cause arthrokinematic restrictions, reducing the ability to achieve a full ankle dorsiflexion range. Restricted ankle dorsiflexion range has been shown to impact sensory-motor function and balance performance negatively . Altered arthrokinematics motions can increase ligamentous stress, and if not properly treated, recurrent ankle sprains may progress to CAI [ 29 , 30 ].

The application of FRT involves positioning the fibular bone in a posterior-lateral direction. This technique is believed to increase mechanoreceptor inputs to the tissues, enhancing proprioception and improving balance ability [ 31 ]. Additionally, FRT may lead to improvements in movement directions, better postural control, and correction of positional faults of the distal fibula [ 32 ]. Previous research has shown that ankle plantarflexion- inversion range of motion and inversion-eversion tilt are reduced immediately after applying the tape. This, as depicted by Smith et al., suggests that FRT has both mechanical and psychological effects. After FRT application, participants often report increased perception of ankle joint stability, confidence, and reassurance during sports and other challenging tasks [ 33 ].

The findings of our study align with previous research that did not find significant enhancements in proprioception performance with the application of KT. For instance, Halseth et al. did not observe significant improvements in ankle reproduction of joint position sense (RJPS) during plantar flexion and plantar flexion with inversion motions [ 34 ]. Similarly, Simon et al. did not find significant differences in eversion force sense after KT application [ 35 ]. However, it is important to note that our results differ from those of Chang et al. and Seo et al., who reported improvements in proprioception performance following KT application [ 36 , 37 ].

The mechanical stimulation induced by facilitatory fibularis longus taping enhances ankle stability by activating proprioceptors within the fibularis longus muscle, thereby improving proprioceptive feedback mechanisms and balance performance. When the tape is applied to the fibularis longus muscle, it increases the contact between the muscle and the skin, leading to heightened activity of sensory neurons that transmit signals to the spinal cord from cutaneous receptors.

This increased sensory input triggers a cascade of responses, including heightened activity of motor neurons and rapid excitatory firing of muscle spindles. Additionally, the stimulation of epidermal receptors elicits sustained muscle responses and provides crucial information about muscle contraction, ultimately contributing to improvements in static and dynamic balance [ 31 ].

In summary, the combined application of facilitatory fibularis longus taping and fibular repositioning taping promotes ankle stability, facilitates normal muscle activation, and enhances overall balance performance. CAI often arises from recurrent lateral ankle sprains, leading to impaired mechanoreceptors in the lateral ligaments and disruptions in transmitting sensory information. This impairment manifests as deficient proprioception, decreased peroneal muscle strength, and reduced motor neuron excitability. Additionally, the healing process of injured ligaments can result in scar tissue formation, further destabilizing the ligaments and exacerbating neuromuscular control impairments that affect postural ability in individuals with CAI [ 38 ].

Previous studies have shown that patients with CAI typically exhibit characteristics such as a more inverted ankle position, reduced range of motion in dorsiflexion, and diminished activity in the peroneus longus muscle during quiet stance compared to healthy individuals. The peroneal muscles provide protective mechanisms and dynamic joint stability against lateral sprains [ 39 ].

The present study had several limitations that should be considered when interpreting the results. Firstly, the lack of a control group to investigate the potential placebo effects of KT is a notable limitation. Secondly, the follow-up period was limited to only 48 hours after taping the application. Future studies could benefit from longer follow-up periods to assess the sustainability of the observed effects over time.

Conclusion

The comparison of static and dynamic postural stability between before and immediately after the application of tapping revealed a significant decrease between groups. Furthermore, the study results showed statistically significant differences between before and 48 hours after tapping between groups. These findings suggest that the combined application of FRT and facilitatory fibularis longus taping contributes to ankle stability, normal muscle activation, and improved balance performance over time.

Conflict of Interest

None declared.

References

  1. Hertel J, Corbett RO. An updated model of chronic ankle instability. J. Athl Train 2019; 54(6):572-88.
  2. Halabchi F, Hassabi M. Acute ankle sprain in athletes: Clinical aspects and algorithmic approach. World J. Orthop 2020; 11(12):534-558.
  3. Wang W, Liao D, Kang X, Zheng W, Xu W, Chen S, et al. Development of a valid Chinese version of the Cumberland Ankle Instability Tool in Chinese-speaking patients with chronic ankle instability disorders. Sci Rep. 2021; 11(1):1-8.
  4. Kobayashi T, Koshino Y, Miki T. Abnormalities of foot and ankle alignment in individuals with chronic ankle instability: a systematic review. BMC Musculoskelet Disord. 2021; 22(1):1-8.
  5. Fuerst P, Gollhofer A, Wenning M, Gehring D. People with chronic ankle instability benefit from brace application in highly dynamic change of direction movements. J Foot Ankle Res. 2021; 14(1):1-11.
  6. Weerasekara I, Osmotherly PG, Snodgrass S, Tessier J, Rivett DA. Is the fibula positioned anteriorly in weight-bearing in individuals with chronic ankle instability? A case control study. J Man Manip Ther. 2021; 29(3):168-75.
  7. Kim K-M, Ingersoll CD, Hertel J. Altered postural modulation of Hoffmann reflex in the soleus and fibularis longus associated with chronic ankle instability. J Electromyogr Kinesiol. 2012; 22(6):997-1002.
  8. De Ridder R, Willems T, Vanrenterghem J, Roosen P. Effect of tape on dynamic postural stability in subjects with chronic ankle instability. Int J Sports Med. 2015; 36(04):321-6.
  9. Jackson K, Simon JE, Docherty CL. Extended use of Kinesiology tape and balance in participants with chronic ankle instability. J Athl Train. 2016; 51(1):16-21.
  10. Gottlieb U, Hoffman JR, Springer S. The immediate carryover effects of peroneal functional electrical stimulation differ between people with and without chronic ankle Iistability. Sensors. 2022; 22(4):1-12.
  11. Hsiao C-K, Tsai Y-J, Lu C-W, Hsiung J-C, Hsiao H-Y, Chen Y-C, et al. Effects of kinesio taping on forearm supination/ pronation performance fatigability. BMC Musculoskelet. Disord 2022; 23(1):1-10.
  12. Kase K. Clinical Therapeutic Applications of the Kinesio Taping® Method. 2nd Edition Albuquerque. 2003.
  13. Kim J-H, Cho M-R, Park J-H, Shin J-C, Cho J-H, Park G-C, et al. The effects of Kinesiotape on acute lateral ankle sprain: study protocol for a randomized controlled trial. Trials. 2018; 19(1):1-10.
  14. Moiler K, Hall T, Robinson K. The role of fibular tape in the prevention of ankle injury in basketball: A pilot study. JOSPT. 2006; 36(9):661-8.
  15. Someeh M, Norasteh AA, Daneshmandi H, Asadi A. Immediate effects of Mulligan’s fibular repositioning taping on postural control in athletes with and without chronic ankle instability. PhysTher Sport. 2015; 16(2):135-9.
  16. Takahashi E, Chun Y, Kim J, Pettaway A, Baker R, Lee S, et al. Immediate effects of ankle tapes on dynamic postural control and kinematics in chronic ankle instability. Int J Exerc Sci. 2018; 50(5S):684-685.
  17. Shea DC. Effect of Kinsio tape on stabilization and strengthening in people with chronic ankle sprains : 2018. [ A dissertation].
  18. Hopper D, Samsson K, Hulenik T, Ng C, Hall T, Robinson K. The influence of Mulligan ankle taping during balance performance in subjects with unilateral chronic ankle instability. PhysTher Sport. 2009; 10(4):125-30.
  19. Delahunt E, McGrath A, Doran N, Coughlan GF. Effect of taping on actual and perceived dynamic postural stability in persons with chronic ankle instability. Arch Phys Med Rehabil. 2010; 91(9):1383-9.
  20. Wheeler TJ, Basnett CR, Hanish MJ, Miriovsky DJ, Danielson EL, Barr J, et al. Fibular taping does not influence ankle dorsiflexion range of motion or balance measures in individuals with chronic ankle instability. J Sci Med Sport. 2013; 16(6):488-92.
  21. Hadadi M, Haghighat F, Sobhani S. Can fibular reposition taping improve balance performance in individuals with chronic ankle instability? A randomized controlled trial. Musculoskelet. Sci Pract. 2020; 46:1-5.
  22. Gribble PA, Delahunt E, Bleakley C, Caulfield B, Docherty C, Fourchet F, et al. Selection criteria for patients with chronic ankle instability in controlled research: a position statement of the International Ankle Consortium. J Orthop Sports Phys Ther. 2013; 43(8):585-91.
  23. Chou E, Kim K-M, Baker AG, Hertel J, Hart JM. Lower leg neuromuscular changes following fibular reposition taping in individuals with chronic ankle instability. Man Ther. 2013; 18(4):316-20.
  24. Kim MK, Shin YJ. Immediate effects of ankle balance taping with kinesiology tape for amateur soccer players with lateral ankle sprain: a randomized cross-over design. Medical science monitor: Int J Clin Exp. 2017; 23:5534-5541.
  25. Cachupe WJ, Shifflett B, Kahanov L, Wughalter EH. Reliability of biodex balance system measures. Meas Phys Educ Exer. 2001; 5(2):97-108.
  26. Karimi N, Ebrahimi I, Kahrizi S, Torkaman G. Evaluation of postural balance using the biodex balance system in subjects with and without low back pain. Pak J Med Sci. 2008; 24(3):372-7.
  27. Chun W, Kim H-s, Park S, Park J, Shim S, Park S. The Influence of pronated foot posture on knee isokinetic strength, static and dynamic postural stability in healthy young individuals. Phys Ther Korea. 2021; 28(3):168-76.
  28. Khalili SM, Barati AH, Oliveira R, Nobari H. Effect of combined balance exercises and Kinesio taping on balance, postural stability, and severity of ankle instability in female athletes with functional ankle instability. Life. 2022; 12(178):1-12.
  29. Zettlemoyer A, Patterson R, Baker R, Nasypany A. Using the Mulligan Mobilization with Movement and fibular repositioning to treat high school patients with grade one lateral ankle sprain. Clinical Practice in Athletic Training. 2022; 5(1):22-30.
  30. Biz C, Nicoletti P, Tomasin M, Bragazzi NL, Di Rubbo G, Ruggieri P. Is kinesio taping effective for sport performance and ankle function of athletes with chronic ankle instability (CAI)? A systematic review and meta-analysis. Medicina. 2022; 58(5):1-15.
  31. Kim H-S, Park J-Y. Effect of muscle taping and joint taping on static and dynamic balance in normal adults with chronic ankle instability. J. Korean soc integr med 2022; 10(1):101-8.
  32. Kulkarni N, Palekar TJ. The immediate effects of Mulligan Taping on pain and weight distribution in lateral ankle instability: A case study. Executive Editor. 2019; 13(1):97-100.
  33. Smith MD, Vitharana TN, Wallis GM, Vicenzino B. Response profile of fibular repositioning tape on ankle osteokinematics, arthrokinematics, perceived stability and confidence in chronic ankle instability. Musculoskelet Sci Pract. 2020; 50:102272.
  34. Halseth T, McChesney JW, DeBeliso M, Vaughn R, Lien J. The effects of kinesio™ taping on proprioception at the ankle. J Sports Sci. Med 2004; 3(1):1-9.
  35. Simon J, Garcia W, Docherty CL. The effect of kinesio tape on force sense in people with functional ankle instability. Clin J Sport Med. 2014; 24(4):289-94.
  36. Chang H-Y, Chou K-Y, Lin J-J, Lin C-F, Wang C-H. Immediate effect of forearm Kinesio taping on maximal grip strength and force sense in healthy collegiate athletes. Phys Ther Sport. 2010; 11(4):122-7.
  37. Seo H-D, Kim M-Y, Choi J-E, Lim G-H, Jung S-I, Park S-H, et al. Effects of kinesio taping on joint position sense of the ankle. J Phys Ther Sci. 2016; 28(4):1158-60.
  38. Yin L, Wang L. Acute effect of kinesiology taping on postural stability in individuals with unilateral chronic ankle instability. Front Physiol. 2020; 11(192):1-8.
  39. East MN, Blackburn JT, DiStefano LJ, Zinder SM, Norcross MF. Effects of fibular repositioning tape on ankle kinematics and muscle activity. Athl Train Sports Health Care. 2010; 2(3):113-22.