Document Type : Original Articles

Authors

1 Department of physical therapy, School of Rehabilitation Sciences, Shiraz University of Medical Sciences, Shiraz, Iran. Student research committee, Shiraz University of Medical Sciences, Shiraz, Iran.

2 Department of physical therapy, School of Rehabilitation Sciences, Shiraz University of Medical Sciences, Shiraz, Iran. Rehabilitation Science Research Center, Shiraz University of Medical Sciences, Shiraz, Iran.

3 Department of Physical Therapy, School of Rehabilitation Sciences, Shiraz University of Medical Sciences Rehabilitation Science Research Center, Shiraz University of Medical Sciences, Shiraz, Iran.

Abstract

Background:Due to the crucial nature of knee joint stability in basketball players and the possible role of the rate of torque development hamstrings to quadriceps ratio for determining knee joint stability in the early phase of explosive movements, the purpose of this cross-sectional study was to explore the relationship between the rate of torque development hamstrings to quadriceps ratio and biomechanical parameters of hip and knee joints in the sagittal and frontal planes during the drop vertical jump test.
Methods: Twenty healthy male recreational basketball players (aged 15-18) were recruited for this cross-sectional study. After measuring anthropometric data, the rate of torque development hamstrings to quadriceps ratio was assessed using an isokinetic Biodex system. Biomechanical variables were measured using a motion analysis system during the drop vertical jump test.
Results: The rate of torque development hamstrings to quadriceps ratio (0-50 milliseconds) was negatively correlated with knee abduction angle (p = 0.028), knee adduction angle (p = 0.003), knee abduction moment (p = 0.023), and knee joint range of motion in the frontal plane (p = 0.01) during 17-50 ms after initial contact. Other biomechanical parameters did not significantly correlate with the rate of torque development hamstrings to quadriceps ratio.
Conclusion: This study's results revealed that the torque development rate hamstrings to quadriceps ratio was negatively associated with knee kinematic and kinetic parameters. Based on the outcomes of this study and previous investigations, it can be acknowledged that the rate of torque development hamstrings to quadriceps ratio might be a useful tool to add to athlete injury screening.
 
 
 
 

Highlights

 

Keywords

Introduction

The knee, as a joint between two of the body’s longest lever arms, plays a key role in lower limb function; hence, the knee joint’s stability is emphasized more than the other two joints in the lower limb, particularly in athletes. Knee joint instability is an issue that affects both athletic and non-athletic populations. It leads to severe consequences such as a higher risk of falling, a protracted period of rehabilitation, and decreased performance in athletes [ 1 , 2 ]. Consequently, this results in increased economic burdens on the healthcare system, sports teams, and players [ 3 , 4 ].

Since the knee joint articular surfaces are not congruent, the stability of this joint, unlike the other two joints of the lower limb, is provided by ligaments and muscles [ 5 ]. The anterior cruciate ligament (ACL), due to its anatomy and function, is regarded as one of the primary knee stabilizers and contributes significantly to knee stability by controlling flexion and internal rotation in the knee joint [ 6 ].

A systematic review in 2021 revealed that landing with a heel strike, poor core stability, weak hip abduction strength, increased knee valgus, and decreased hip and knee flexion may all contribute to an increased risk of ACL injury [ 7 ]. ACL injuries have severe psychological, health, and financial consequences [ 3 ]. These injuries are often followed by a slew of complications, such as knee instability, osteoarthritis, performance deficiencies, and a shortening of one’s athletic career . ACL injuries account for roughly half of all knee injuries [ 10 ]. Moreover, ACL injuries among athletes are reported to occur at a rate of between 100,000 and 200,000 per year [ 11 ].

Given the severe consequences of ACL injuries, the high costs of surgery, and the prolonged rehabilitation period, the best way to reduce the risk of this injury is to address modifiable risk factors. Video analysis has greatly aided in determining high-risk situations for ACL injury, which in ball sports can include landing after a jump, abrupt stopping, and sudden changes in direction [ 11 , 12 ].

Due to the fast pace of basketball games, resulting in unpredictable landings and quick cutting, remarkable stresses are placed on the players’ knee joints, exposing them to injuries such as ACL tears [ 13 ]. A high incidence of ACL injury is reported for basketball players, specifically in recreational competitions [ 11 ]. According to a systematic review based on video analysis and prescreening studies conducted by Lawra et al. [ 11 ], basketball players have the highest prevalence of ACL injuries.

The prevalence of ACL injuries in basketball players has been estimated to be approximately 2.5 injuries per year in the National Basketball Association (NBA) [ 14 , 15 ]. Moreover, after returning to the court, their performance, particularly in the first season after returning to the field, drops significantly in comparison to their pre- injury level [ 16 - 18 ]. As a result, basketball teams will not only be unable to use their player, but some NBA teams have agreed to pay the injured players during their absence from the team. Thus, an ACL injury can impose a significant financial burden on teams and players [ 19 ]. Anterior tibial translation, high knee valgus, and external rotation angles and torques that cause these movements are biomechanical factors thatcan compromise knee stability and increase the load on the ACL [ 11 ]. Moreover, hip biomechanics, such as a greater hip adduction angle and the torques that contribute to this movement, enhance the likelihood of an ACL injury by putting the knee in a more valgus position and raising the risk of valgus collapse [ 11 , 20 ].

For many years, the hamstring-to-quadriceps strength ratio has been measured and implemented to assess knee stability, neuromuscular imbalance, and performance [ 21 ]. There are numerous approaches to calculate this ratio [ 22 ]. The conventional ratio is determined by calculating the peak torque produced during concentric hamstring: concentric quadriceps maximal voluntary contraction, and the functional ratio is determined by calculating the peak torque produced during eccentric hamstring: concentric quadriceps maximal voluntary contraction.

However, previous studies have revealed that maximal voluntary contraction is developed in 500ms and due to the explosive nature of sports like basketball and the timing of explosive movements (50-250ms) [ 23 ], it appears that the maximum amount of force is not developed in the traditional hamstring-to-quadriceps ratio [ 12 , 24 ]. Furthermore, there is a time limit (50ms) for knee stabilization in match-play situations, and most ACL injuries and knee instability occur 17-50ms after initial contact [ 12 ].

As a result, Zebis et al. introduced the rate of torque development ratio (RTD: Δtorque/Δtime), which seems to be a more accurate measure for evaluating knee joint stability in the early phase and can be measured in different time intervals such as 0-50ms, 50-100ms, 100-150ms, and 150-200ms [ 24 ]. This ratio describes how fast the hamstring muscle can produce a counter torque against the quadriceps muscle, highlighting the importance of rapidly activating the hamstrings relative to the quadriceps [ 24 ]. As this ratio cannot be investigated during closed kinetic chain actions like landing, it provides the best-standardized measure of the capability for dynamic knee joint stabilization [ 24 ]. Moreover, previous studies discovered that the isometric rate of force development correlates with dynamic functional performance [ 25 , 26 ]. Therefore, Zebis et al. hypothesized that this ratio could be employed to identify athletes at high risk for knee injury.

Following the introduction of this ratio as a possible index for knee stability in the early phase of explosive movements, many studies have assessed the relationship between the RTD ratio and the conventional ratio, the functional ratio, performance, age, and power [ 23 , 27 - 30 ]. However, to the author, no study has assessed the relationship between the hamstring to quadriceps RTD ratio (H/Q RTD ratio) and lower limb kinematics and kinetics effective in knee joint stability. Therefore, the current study aimed to investigate the relationship between the H/Q RTD0-50 ratio and biomechanical parameters associated with knee injury (knee and hip angles and moments in frontal and sagittal planes) during a vertical drop jump test, 17-50ms after initial contact.

Methods

Participants

Twenty healthy male recreational basketball players, aged between 15 and 18, were recruited for this cross- sectional study using a convenience sampling method. The participants played basketball at least three times a week, with each session lasting 90 minutes or more, and had no reported history of knee injury. Players were excluded if they had a history of ACL injury and reconstruction surgery, hip injury, fractures with lower limb deformities, hamstring or quadriceps strains in the past six months, cardiovascular problems, or neurological conditions preventing them from performing sports maneuvers. Additionally, those reporting pain in their lower limbs on the test day were excluded from the study. The subjects received detailed information about the study before participation and provided written informed consent approved by the SUMS ethics committee (No: IR.SUMS.REHAB.REC.1401.005).

Procedure

To minimize the learning effect, participants attended the biomechanics and motion analysis laboratory on two separate days within 48 hours. On the first visit, they were familiarized with the tests.

Data Collection

On the second visit, the test day, anthropometric data (age, height, and weight) were collected from the participants. The dominant limb was determined based on the limb they preferred to kick a ball [ 31 ]. Participants then warmed up on a stationary bike (Bodyguard 990, Canada) at their preferred pace before being randomly assigned to the isokinetic system or the motion analysis laboratory via a coin flip.

The H/Q RTD0-50 ratio was measured using an isokinetic Biodex dynamometer (Biodex System Pro 4, Biodex Medical Systems, Shirley, NY). The Biodex system was calibrated before the participant’s assessment. The trunk was set at an angle of 85 degrees [ 24 ], and secured with three straps while participants were instructed to cross their arms over their chest. Another strap secured the dominant limb. The dynamometer was aligned with the lateral femoral condyle, and the distal limb attachment was positioned above the lateral malleolus. The leg was fixed at 70° [ 22 ], and three isometric trials for knee flexion and extension were performed, each lasting 8 seconds, with a 45-second rest in between. Participants were instructed to extend and flex their knees as quickly and powerfully as possible. They were also instructed to monitor the force plot on a screen and to maximize the force exerted, with both visual and auditory feedback provided.

Motion analysis data were recorded using an eight- camera Qualisys system (Proreflex, Qualisys Track Manager Ltd., Gothenburg, Sweden), with kinematic data collected at a sampling frequency of 120 Hz. Kinetic data were recorded at a sampling rate of 1000 Hz using an embedded force plate (AG Instrument Kistler, AG, Type 9286AA, Winterthur, Switzerland).

Twenty-two reflective markers, each 19 mm diameter, were attached to the participants’ bony anatomical landmarks using hypoallergenic double-sided tape. The markers were applied directly to the skin to avoid biases in data collection. Based on the visual 3D model, markers were placed over the iliac crest, posterior superior iliac spine, second sacral vertebra, anterior superior iliac spine, greater trochanter, medial and lateral femoral condyles, medial and lateral malleoli, cluster markers in the middle of the thigh, and cluster markers at the junction of the distal one-third and proximal two-thirds of the tibia on the dominant limb.

After calibrating the motion analysis system, the markers were affixed to the participants. All eight cameras and the force plate were synchronized with the lab computer system. The Qualisys Track Manager (QTM) software (version 2.17) was used to record static and dynamic trials.

The landing biomechanics in this study were evaluated using the drop vertical jump test, a simple, clinically feasible method for assessing landing mechanics in athletes. This test is known for its high inter- and intra- rater reliability, as well as its sensitivity in both field and laboratory conditions [ 32 , 33 ]. A customized box with a height of 30 cm was used for the drop vertical jump test. During the test, participants stood barefoot in the middle of the laboratory on the force plate, with their arms crossed over their trunks and their gaze directed straight ahead. A 5-second static trial was recorded to capture baseline data. The 30 cm box was then positioned 10 cm behind the force plate. Participants were instructed to stand on the box with their feet shoulder-width apart, shoulders abducted at 45 degrees, and elbows flexed at 90 degrees. They were then required to perform a drop vertical jump. Each participant completed three successful dynamic trials.

Data Processing Isokinetic Trial

The isokinetic data were processed using MATLAB (The MathWorks, Natick, Massachusetts, USA) with custom MATLAB codes. Torque values were filtered using a low-pass 4th-order Butterworth filter with a cutoff frequency of 10 Hz [ 23 ]. The Rate of Torque Development (RTD) was defined as the slope of the torque-time curve within defined intervals of 0-50 ms from the onset [ 34 ]. Muscle contraction onset was determined as the time when torque exceeded 7.5 N·m from baseline [ 23 ].

Motion Analysis Data

Data were recorded using QTM software (version 2.17) and exported to a Visual 3D-compatible format after marker labeling. Dynamic trials were assigned to the static model created in Visual 3D software (version 5). Initial contact, 17 ms after initial contact, and 50 ms after initial contact were labeled for analysis. To minimize bias, kinematic and kinetic data were filtered using a low-pass 4th order Butterworth filter with a cutoff frequency of 12 Hz [ 35 ]. During the 17-50 ms following initial ground contact, peak hip and knee joint angles and internal moments in the sagittal and frontal planes, as well as the range of motion (ROM) of the hip and knee joints in both planes and the peak vertical ground reaction force, were measured and averaged across three trials.

Statistical Analysis

All statistical analyses were conducted using IBM SPSS Statistics v.26.0 (SPSS Inc., Chicago, IL, USA). The Kolmogorov-Smirnov test was used to evaluate kinematic and kinetic data distribution, the RTD0-50 H/Q ratio, and anthropometric data. The correlation between the H/Q RTD0-50 ratio and biomechanical parameters was assessed based on the results of the Kolmogorov- Smirnov test. Pearson correlation was applied if both variables’ distributions were normal; otherwise, Spearman correlation was used. Statistical significance was set at ≤0.05.

Results

Table 1 presents the participants’ descriptive data.

Variable (n=20) Mean±SD
Age (y) 16.75±1.33
Height (cm) 180.05±11.59
Weight (kg) 73.25±12.69
Basketball player experience (y) 4.45±3.83
H/Q RTD0-50 ratio 0.6977±0.27
n: Number; SD: Standard deviation; y: Year; cm: Centimeter; kg: Kilogram; H/Q RTD: Hamstring to quadriceps rate of torque development
Table 1. The participants’ descriptive data

The Pearson and Spearman correlation coefficients between the H/Q RTD0-50 ratio and the following parameters were calculated and are detailed in Table 2: peak hip abduction/adduction angle, peak hip flexion angle, peak knee abduction/adduction angle, peak knee flexion angle, peak hip abduction/adduction moment, peak knee abduction/adduction moment, peak hip extension moment, and peak knee extension moment.

H/Q RTD0-50 ratio
Variable PHFA PHABA PHADDA PKFA PKABA PKADDA
P value 0.550 0.849 0.697 0.212 0.028* 0.003*
coefficient correlation -0.142 -0.054 0.240 0.292 -0.657 -0.862
Mean±SD 12.79±7.39 6.95±3.96 2.81±1.47 50.52±8.01 6.24±4.51 6.95+4.91
Bolded* demonstrates a significant correlation. PHFA: Peak hip flexion angle; PHABA: Peak hip abduction angle; PHADDA: Peak hip adduction angle; PKFA: Peak knee flexion angle; PKABA: Peak knee abduction angle; PKADDA: Peak knee adduction angle; SD: Standard deviation
Table 2. The correlation between hamstring to quadriceps rate of torque development (H/Q RTD0-50) ratio and hip and knee joint angles

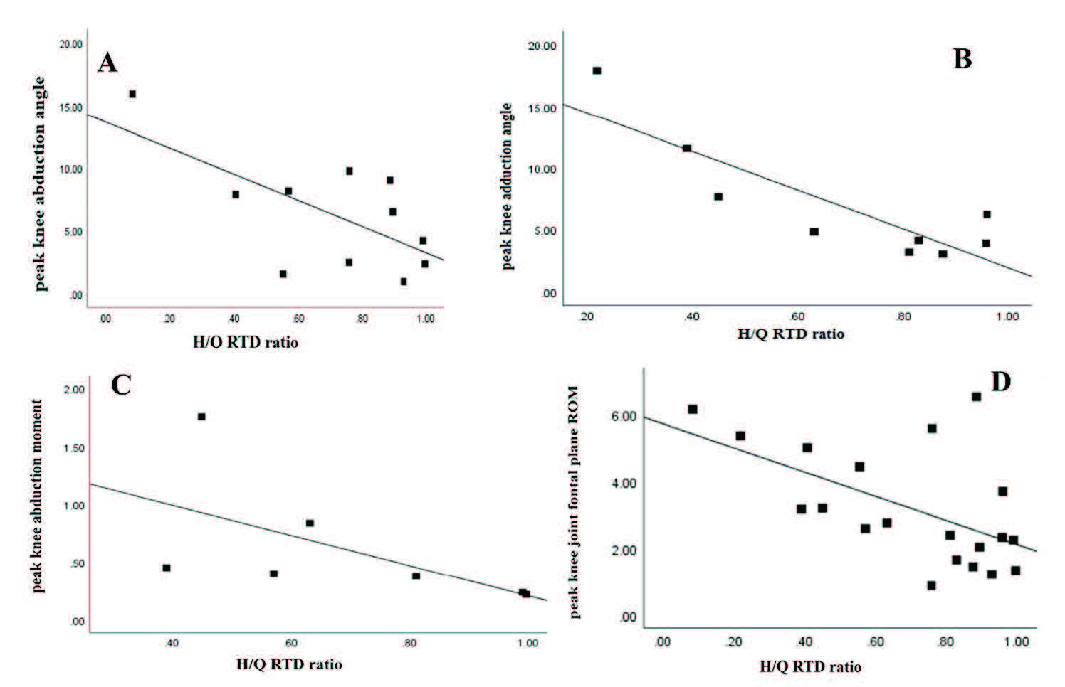
As shown in Table 2, basketball players with a higher H/Q RTD0-50 ratio tend to have smaller knee abduction and adduction angles, reflecting a significant relationship between the H/Q RTD0-50 ratio and peak knee abduction and adduction angles (Figure 1 A, B). Additionally, Table 3 reveals a significant negative correlation between the knee abduction moment and the H/Q RTD0-50 ratio; thus, players with a higher H/Q RTD ratio exhibit a lower knee abduction moment (Figure 1C).

Figure 1. A. correlation between H/Q RTD0-50 ratio and knee abduction angle/ B. correlation between H/Q RTD0-50 ratio and knee adduction angle / c. correlation between H/Q RTD0-50 ratio and knee abduction moment / D. correlation between H/Q RTD0-50 ratio and knee joint ROM in frontal plane

H/Q RTD0-50 ratio
Variable PHEM PHADDM PKEM PKABM PKADDM PVGRF
P value 0.938 0.350 0.576 0.023* 0.764 0.645
Coefficient correlation -0.018 0.250 0.764 -0.821* 0.092 0.110
Mean±SD1.29±0.69 0.71±0.58 1.15±0.52 0.61±0.54 0.52±0.24 832.18±163.74
Bolded* demonstrates a significant correlation. PHEM: Peak hip extension moment; PHADDM: Peak hip adduction moment; PKEM: Peak knee extension moment; PKABM: Peak knee abduction moment; PKADDM: Peak knee adduction moment; PVGRF: Peak vertical ground reaction force; SD: Standard deviation
Table 3. The correlation between hamstring to quadriceps rate of torque development (H/Q RTD0-50) ratio and hip and knee joint moments and peak

Furthermore, the significant correlation between the knee joint frontal ROM and the H/Q RTD ratio (Tables 3, 4) suggests that basketball players with a lower H/Q RTD0-50 ratio may be more likely to show a greater ROM in the knee joint’s frontal plane (Figure 1D).

H/Q RTD0-50 ratio
Variable HSROM HFROM KSROM KFROM
P value 0.586 0.850 0.711 0.01*
Coefficient correlation 0.129 0.045 -0.088 -0.561*
Mean±SD 7.43±2.56 1.70±1.02 17.07±2.57 3.19±1.74
Bolded** demonstrates a significant correlation. HSROM: Hip joint range of motion in sagittal plane; HFROM: Hip joint range of motion in frontal plane; KSROM: Knee joint range of motion in sagittal plane; KFROM: Knee joint range of motion in frontal plane; SD: Standard deviation
Table 4. The correlation between hip and knee range of motions and hamstring to quadriceps rate of torque development H/Q RTD rati

Discussion

The present study aimed to explore the relationship between the H/Q RTD0-50 ratio and sagittal and frontal knee and hip kinematics and kinetics in recreational basketball players. We hypothesized that there might be a relationship between biomechanical parameters contributing to knee stability and the H/Q RTD0-50 ratio based on the results of previous studies.

The findings of this study (Tables 2, 3, and 4) revealed significant relationships between the H/Q RTD ratio and peak internal knee abduction moment, peak knee abduction angle, peak knee adduction angle, and knee frontal range of motion.

Our results demonstrate a significant relationship between the H/Q RTD0-50 ratio and peak knee abduction moment and angle (Table 3). Specifically, athletes with a lower H/Q RTD0-50 ratio exhibited greater knee abduction moments and angles. As the H/Q RTD0-50 ratio increases, the knee abduction moment and knee abduction angle decrease (Figure 1 A, C).

Previous studies have explored the role of hamstrings and quadriceps muscles in controlling knee joint movement in the frontal plane [ 36 , 37 ]. It has been shown that these muscles, particularly their medial and lateral parts, can provide support against abduction and adduction forces and moments imposed on the knee joint. Arnold et al. [ 37 ] noted that the impact of each hamstring muscle on ACL loading could vary in the frontal plane due to differences in their attachment sites and moment arms relative to the knee joint.

According to Maniar et al., the vasti muscles are key generators of knee abduction moments during single-leg landing. In contrast, the hamstring muscle contributes to knee adduction moments during the early phase and the first 30% of the landing phase [ 38 ]. Consequently, the crucial ability of the hamstrings to produce a counter- torque against quadriceps muscle torque in both the sagittal and frontal planes, particularly within the first 50 ms when knee stability is compromised.The findings of the present study support this hypothesis, indicating that the H/Q RTD0-50 ratio could serve as an effective index for knee stabilization in the early phase of explosive movements such as landing.

The quadriceps is a major muscle group that can compromise knee stability, increase the load on the knee, and contribute to ACL injuries [ 39 , 40 ]. However, previous research has shown that the degree of knee flexion influences the quadriceps’ potential to increase the load and strain on the ACL. When the knee is more flexed, the quadriceps exerts less load on the ACL, resulting in a decreased abduction angle in the frontal plane of the knee [ 41 , 42 ].

As shown in Table 2, the knee flexion angle remains below 70° during the critical period for knee stabilization in landing after a jump (17–50 milliseconds after initial ground contact) in recreational basketball players. The quadriceps muscle’s mechanical advantage diminishes in knee flexion beyond 80°; however, it retains the capacity to increase the load on the knee and ACL during this specific period [ 20 , 43 , 44 ]. This study’s findings align with those of other studies. Basketball players with a lower H/Q RTD0-50 ratio exhibited higher knee abduction moments and angles within 17–50 milliseconds after initial ground contact.

Numerous studies have investigated the ability of hamstring muscles to mitigate the loads imposed by quadriceps muscles on the knee joint and ACL and whether co-contraction of the hamstrings with the quadriceps can counterbalance quadriceps torque. These studies have demonstrated that hamstring muscle contraction can protect the knee and ACL [ 45 - 48 ]. In vitro research has shown that maximum strain on the ACL is higher when the quadriceps muscle is activated alone during a bilateral drop-jump stimulation than when all knee joint muscles or the hamstring muscle alone are activated [ 49 ].

Although the knee flexion angle influences hamstring activity, unlike the quadriceps, the hamstrings cannot effectively counteract the high torques imposed on the knee and ACL by the quadriceps at lower flexion angles (near extension). However, hamstring muscle contraction can impact the reduction of knee and ACL loading at greater flexion angles [ 50 ]. Prior EMG-based studies [ 51 ] have also indicated that excessive valgus and varus forces may be mitigated by co-contraction of the hamstrings and quadriceps.

The high risk of knee instability during landing, particularly within 17–50 milliseconds after initial ground contact, can be attributed to the lower flexion angle during this period, as well as the diminished mechanical advantage of the hamstring muscle compared to the high mechanical advantage of the quadriceps muscle at low flexion angles [ 12 , 50 ]. Furthermore, the present study’s findings suggest that a lower H/Q RTD ratio, negatively correlated with knee abduction moment and knee abduction angle, may contribute to knee instability in the early phase of landing in recreational basketball players. Contrary to our hypothesis, the knee adduction angle was found to be correlated with the H/Q RTD0-50 ratio. As shown in Table 4, the H/Q RTD0-50 ratio also correlates with knee joint ROM in the frontal plane, suggesting that this ratio is associated with knee joint movement in the frontal plane (Figure 1.D).

Therefore, basketball players with a lower H/Q RTD0-50 ratio tend to exhibit a higher knee abduction angle, knee abduction moment, knee adduction angle, and knee joint frontal range of motion. In other words, players with a higher H/Q RTD0-50 ratio are likelier to demonstrate better knee joint stability in the frontal plane.

As the H/Q RTD0-50 ratio negatively correlates with knee joint ROM in the frontal plane (Table 4, Figure 1.D), the results of this study are consistent with previous research indicating that knee abduction during functional activity can place additional frontal plane strain on the knee joint and passive tissues that contribute to knee stability. This underscores the importance of controlling frontal plane knee motion .

The findings of this study support previous research showing that knee abduction during functional activity can impose extra load on the knee joint and passive tissues, emphasizing the need for effective control of frontal plane knee motion .

Given the inadequacy of the traditional hamstring-to- quadriceps ratio, which measures hamstring strength through concentric and eccentric peak torque, the H/Q RTD ratio provides a more accurate assessment of hamstring strength by evaluating how quickly torque is generated and how effectively it counters the torque produced by the quadriceps. This can help reduce the risk of knee instability and injury during high-risk movements, such as landing and cutting, within the first 50 milliseconds.

Screening athletes’ high-risk movements with 3D biomechanical tools is expensive and time-consuming. However, since this study demonstrates a correlation between the H/Q RTD0-50 ratio and knee parameters, including knee abduction angle, knee abduction moment, knee adduction angle, and knee joint’s frontal range of motion, employing this ratio for screening knee injury in basketball players may be beneficial. Players with a higher H/Q RTD0-50 ratio tend to exhibit lower abduction angles, knee adduction angles, knee abduction moments and reduced frontal ROM in the critical 17 to 50 milliseconds after initial ground contact during landing. Several limitations were encountered in this study. The correlation between the H/Q RTD0-50 ratio and hip abduction moment could not be assessed due to the small sample size. Future research should explore this correlation in other sports with larger sample sizes, including female athletes, and consider the impact of specialized footwear. Participants performed drop vertical jumps barefoot, which may not accurately reflect landing mechanics during actual matches with professional shoes.

Conclusion

The H/Q RTD0-50 ratio has been found to correlate with the knee abduction angle, knee abduction moment knee adduction angle, and knee joint frontal ROM in basketball players during the drop vertical jump. These findings suggest that the H/Q RTD0-50 ratio, in addition to other biomechanical measurements, may be useful as a screening tool for assessing knee injury risk.

Acknowledgment

This study was funded as part of Maha Moore’s master’s thesis by Shiraz University of Medical Sciences (Grant No: 25170).

Conflict of Interest

None declared.

References

  1. Rahnama N, Bambaeichi E, Daneshjoo A. The epidemiology of knee injuries in Iranian male professional soccer players. Sport Sci Health. 2009; 5:9-14.
  2. Noya Salces J, Gómez-Carmona PM, Gracia-Marco L, Moliner-Urdiales D, Sillero-Quintana M. Epidemiology of injuries in First Division Spanish football. J Sports Sci. 2014; 32(13):1263-70.
  3. Renström PA. Eight clinical conundrums relating to anterior cruciate ligament (ACL) injury in sport: recent evidence and a personal reflection. Br J Sports Med. 2013; 47(6):367-72.
  4. Dos’Santos T, Thomas C, Comfort P, Jones PA. The Effect of Training Interventions on Change of Direction Biomechanics Associated with Increased Anterior Cruciate Ligament Loading: A Scoping Review. Sports Med. 2019; 49(12):1837-59.
  5. Hertling D, Kessler RM. Management of common musculoskeletal disorders: physical therapy principles and methods: Lippincott Williams and Wilkins; 2006.
  6. Abulhasan J, Grey M. Anatomy and Physiology of Knee Stability. Journal of Functional Morphology and Kinesiology. 2017; 2:34.
  7. Larwa J, Stoy C, Chafetz RS, Boniello M, Franklin C. Stiff Landings, Core Stability, and Dynamic Knee Valgus: A Systematic Review on Documented Anterior Cruciate Ligament Ruptures in Male and Female Athletes. International journal of environmental research and public health. 2021; 18(7)
  8. Lohmander LS, Ostenberg A, Englund M, Roos H. High prevalence of knee osteoarthritis, pain, and functional limitations in female soccer players twelve years after anterior cruciate ligament injury. Arthritis Rheum. 2004; 50(10):3145-52.
  9. Luc B, Gribble Pa Fau-Pietrosimone BG, Pietrosimone BG. Osteoarthritis prevalence following anterior cruciate ligament reconstruction: a systematic review and numbers-needed-to-treat analysis. J Athl Train. 2019; 1938-162X (Electronic)
  10. Joseph AM, Collins CL, Henke NM, Yard EE, Fields SK, Comstock RD. A multisport epidemiologic comparison of anterior cruciate ligament injuries in high school athletics. J Athl Train. 2013; 48(6):810-7.
  11. Larwa JA-O, Stoy C, Chafetz RS, Boniello M, Franklin CA-O. Stiff Landings, Core Stability, and Dynamic Knee Valgus: A Systematic Review on Documented Anterior Cruciate Ligament Ruptures in Male and Female Athletes. Int J Environ Res Public Health. 2021; 18(1660-4601 (Electronic))
  12. Krosshaug T, Nakamae A, Boden BP, Engebretsen L, Smith G, Slauterbeck JR, et al. Mechanisms of anterior cruciate ligament injury in basketball: video analysis of 39 cases. Am J Sports Med. 2007; 35(3):359-67.
  13. DeFroda SF, Patel DD, Milner J, Yang DS, Owens BD. Performance After Anterior Cruciate Ligament Reconstruction in National Basketball Association Players. Orthop J Sports Med. 2021; 9(2):2325967120981649.
  14. Harris JD, Erickson BJ, Bach Jr BR, Abrams GD, Cvetanovich GL, Forsythe B, et al. Return-to-sport and performance after anterior cruciate ligament reconstruction in National Basketball Association players. Sports Health. 2013; 5(6):562-8.
  15. Mai HT, Chun DS, Schneider AD, Erickson BJ, Freshman RD, Kester B, et al. Performance-based outcomes after anterior cruciate ligament reconstruction in professional athletes differ between sports. The American journal of sports medicine. 2017; 45(10):2226-32.
  16. Nwachukwu BU, Anthony SG, Lin KM, Wang T, Altchek DW, Allen AA. Return to play and performance after anterior cruciate ligament reconstruction in the National Basketball Association: surgeon case series and literature review. The Physician and sportsmedicine. 2017; 45(3):303-8.
  17. Kester BS, Behery OA, Minhas SV, Hsu WK. Athletic performance and career longevity following anterior cruciate ligament reconstruction in the National Basketball Association. Knee Surgery, Sports Traumatology, Arthroscopy. 2017; 25:3031-7.
  18. Okoroha KR, Marfo K, Meta F, Matar R, Shehab R, Thompson T, et al. Amount of minutes played does not contribute to anterior cruciate ligament injury in National Basketball Association athletes. Orthopedics. 2017; 40(4):e658-e62.
  19. Vaudreuil NJ, van Eck CF, Lombardo SJ, Kharrazi FD. Economic and Performance Impact of Anterior Cruciate Ligament Injury in National Basketball Association Players. Orthop J Sports Med. 2021; 9(9):23259671211026617.
  20. Maniar NA-O, Cole MH, Bryant AL, Opar DA. Muscle Force Contributions to Anterior Cruciate Ligament Loading. Sports Med. 2022Aug; 52(8):1737-1750(1179-2035 (Electronic)).
  21. Coombs R, Garbutt G. Developments in the use of the hamstring/ quadriceps ratio for the assessment of muscle balance. J Sports Sci Med. 2002; 1(3):56-62.
  22. Ruas CV, Pinto RS, Haff GG, Lima CD, Pinto MD, Brown LE. Alternative Methods of Determining Hamstrings-to-Quadriceps Ratios: a Comprehensive Review. Sports Med Open. 2019; 5(1):11.
  23. Greco CC, Da Silva WL, Camarda SR, Denadai BS. Rapid hamstrings/quadriceps strength capacity in professional soccer players with different conventional isokinetic muscle strength ratios. Journal of sports science and medicine. 2012; 11(3):418-22.
  24. Zebis MK, Andersen LL, Ellingsgaard H, Aagaard P. Rapid hamstring/quadriceps force capacity in male vs. female elite soccer players. J Strength Cond Res. 2011; 25(7):1989-93.
  25. Jarić S, Ristanović D, Corcos DM. The relationship between muscle kinetic parameters and kinematic variables in a complex movement. Eur J Appl Physiol Occup Physiol. 1989; 59(5):370-6.
  26. Viitasalo JT, Aura O. Seasonal fluctuations of force production in high jumpers. Can J Appl Sport Sci. 1984; 9(4):209-13.
  27. Greco CC, da Silva WL, Camarda SR, Denadai BS. Fatigue and rapid hamstring/quadriceps force capacity in professional soccer players. Clin Physiol Funct Imaging. 2013; 33(1):18-23.
  28. Palmer TB, Followay BN, Thompson BJ. Age-related effects on maximal and rapid hamstrings/quadriceps strength capacities and vertical jump power in young and older females. Aging Clin Exp Res. 2017; 29(6):1231-9.
  29. Hannah R, Folland JP, Smith SL, Minshull C. Explosive hamstrings-to-quadriceps force ratio of males versus females. Eur J Appl Physiol. 2015; 115(4):837-47.
  30. Hannah R, Minshull C, Smith SL, Folland JP. Longer electromechanical delay impairs hamstrings explosive force versus quadriceps. Med Sci Sports Exerc. 2014; 46(5):963-72.
  31. Peebles AT, Dickerson LC, Renner KE, Queen RM. Sex-based differences in landing mechanics vary between the drop vertical jump and stop jump. J Biomech. 2020; 105:109818.
  32. Redler LH, Watling JP, Dennis ER, Swart E, Ahmad CS. Reliability of a field-based drop vertical jump screening test for ACL injury risk assessment. Phys Sportsmed. 2016; 44(1):46-52.
  33. Ford K, Myer G, Hewett T. Reliability of dynamic knee motion in female athletes. 27th Annual Meeting of the American Society of Biomechanics. 2003.
  34. Aagaard P, Simonsen EB, Andersen JL, Magnusson P, Dyhre-Poulsen P. Increased rate of force development and neural drive of human skeletal muscle following resistance training. J Appl Physiol (1985). 2002; 93(4):1318-26.
  35. Myer GD, Ford KR, Khoury J, Succop P, Hewett TE. Biomechanics laboratory-based prediction algorithm to identify female athletes with high knee loads that increase risk of ACL injury. Br J Sports Med. 2011; 45(4):245-52.
  36. Palmieri-Smith RM, McLean SG, Ashton-Miller JA, Wojtys EM. Association of quadriceps and hamstrings cocontraction patterns with knee joint loading. J Athl Train. 2009; 44(3):256-63.
  37. Arnold EM, Ward SR, Lieber RL, Delp SL. A model of the lower limb for analysis of human movement. Ann Biomed Eng. 2010; 38(2):269-79.
  38. Maniar NA-O, Schache AA-O, Pizzolato CA-O, Opar DA-O. Muscle contributions to tibiofemoral shear forces and valgus and rotational joint moments during single leg drop landing. Scand J Med Sci Sports. 2020; 9(1600-0838 (Electronic):)1664-7.
  39. Withrow TJ, Huston Lj Fau - Wojtys EM, Wojtys Em Fau - Ashton-Miller JA, Ashton-Miller JA. The relationship between quadriceps muscle force, knee flexion, and anterior cruciate ligament strain in an in vitro simulated jump landing. Am J Sports Med. 2006; 34(0363-5465 (Print)):269-74.
  40. Victor J, Labey L Fau - Wong P, Wong P Fau - Innocenti B, Innocenti B Fau - Bellemans J, Bellemans J. The influence of muscle load on tibiofemoral knee kinematics. J Orthop Res. 2010; 28(1554-527X (Electronic)):419-28.
  41. DeMorat G, Weinhold P Fau - Blackburn T, Blackburn T Fau Chudik S, Chudik S Fau - Garrett W, Garrett W. Aggressive quadriceps loading can induce noncontact anterior cruciate ligament injury. Am J Sports Med. 2004; 32(0363-5465 (Print)):477-83.
  42. Hsich YF, Draganich LF. Knee kinematics and ligament lengths during physiologic levels of isometric quadriceps loads. The Knee. 1997; 4(3):145-54.
  43. Markolf KL, O’Neill G Fau - Jackson SR, Jackson Sr Fau - McAllister DR, McAllister DR. Effects of applied quadriceps and hamstrings muscle loads on forces in the anterior and posterior cruciate ligaments. Am J Sports Med. 2004; 32(0363- 5465 (Print)):1144-9.
  44. Pandy MG, Shelburne KB. Dependence of cruciate-ligament loading on muscle forces and external load. J Biomech. 1997; 30(0021-9290 (Print)):1015-24.
  45. Serpell BG, Scarvell JM, Pickering MR, Ball NB, Newman P, Perriman D, et al. Medial and lateral hamstrings and quadriceps co-activation affects knee joint kinematics and ACL elongation: a pilot study. BMC Musculoskelet Disord. 2015; 16(1471-2474 (Electronic))
  46. Biscarini A, Botti FM, Pettorossi VE. Selective contribution of each hamstring muscle to anterior cruciate ligament protection and tibiofemoral joint stability in leg-extension exercise: a simulation study. Eur J Appl Physiol. 2013; 113(9):2263-73.
  47. Withrow TJ, Huston Lj Fau - Wojtys EM, Wojtys Em Fau - Ashton- Miller JA, Ashton-Miller JA. Effect of varying hamstring tension on anterior cruciate ligament strain during in vitro impulsive knee flexion and compression loading. J Bone Joint Surg Am. 2008; 1535-1386 (Electronic)
  48. MacWilliams BA, Wilson DR, DesJardins JD, Romero J, Chao EY. Hamstrings cocontraction reduces internal rotation, anterior translation, and anterior cruciate ligament load in weight-bearing flexion. J Orthop Res. 1999; 17(6):817-22.
  49. Ueno R, Navacchia A, Schilaty ND, Myer GD, Hewett TE, Bates NA. Hamstrings Contraction Regulates the Magnitude and Timing of the Peak ACL Loading During the Drop Vertical Jump in Female Athletes. Orthop J Sports Med. 2021; 9(2325-9671 (Print))
  50. Li G, Zayontz S, Most E, DeFrate LE, Suggs JF, Rubash HE. In situ forces of the anterior and posterior cruciate ligaments in high knee flexion: an in vitro investigation. J Orthop Res. 2004; 22(2):293-7.
  51. Lloyd DG, Buchanan Ts Fau - Besier TF, Besier TF. Neuromuscular biomechanical modeling to understand knee ligament loading. Med Sci Sports Exerc. 2005; 37(0195-9131 (Print)):1939-47.
  52. Dierks TA, Manal KT, Hamill J, Davis IS. Proximal and distal influences on hip and knee kinematics in runners with patellofemoral pain during a prolonged run. J Orthop Sports Phys Ther. 2008; 38(8):448-56.
  53. Boling MC, Padua DA, Marshall SW, Guskiewicz K, Pyne S, Beutler A. A prospective investigation of biomechanical risk factors for patellofemoral pain syndrome: the Joint Undertaking to Monitor and Prevent ACL Injury (JUMP-ACL) cohort. Am J Sports Med. 2009; 37(11):2108-16.
  54. Powers CM. The influence of abnormal hip mechanics on knee injury: a biomechanical perspective. J Orthop Sports Phys Ther. 2010; 40(2):42-51.
  55. Henriksen M, Aaboe J, Bliddal H. The relationship between pain and dynamic knee joint loading in knee osteoarthritis varies with radiographic disease severity. A cross sectional study. Knee 2012; 19(4):392-8.
  56. Lo GH, Harvey WF, McAlindon TE. Associations of varus thrust and alignment with pain in knee osteoarthritis. Arthritis Rheum. 2012; 64(7):2252-9.